图131阴极射线示波管
图132双踪示波器基本结构方框图
图133
Y
轴通道输入电路
图134仪器连接方法
图135[例131]波形图
图136李沙育 图形
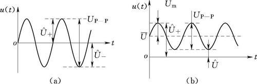
图137交流电压的峰值、振幅值
表141 IEC(国际电工委员会)推荐的基准工作条件
上一页
1
2
3
4
5
6
下一页
第
/25页
跳转